
0. 포스팅 목적
주변 지인이 자신이 들었던 수업의 모든 강의 노트를 레이텍으로 쓴 문서를 보여주었는데 굉장히 많은 수식과 Notation을 아름답게 정리하여 감명을 받았고, 언젠간 쓸 일이 있을 것 같아 조금이라도 미리 알아두고자 한다.
또한, 현재 Data Analyst로 복무 중인 회사에서도 Notion을 사용할 때 글을 더 잘 작성할 수 있을 것 같다.

알고보니 노션은 TeX 기반인듯. 그래도 뭐라도 알아두면 좋을 것 같다.
1. LaTeX란 무엇이며, 어디에서 사용되는가?
LaTeX(pronounced "Lah-tech" or "Lay-tech")는 주로 학술 문서 작성에 사용되는 문서 준비 시스템.
LaTeX는 수학, 물리학, 컴퓨터 과학 등의 분야에서 널리 사용되며, 복잡한 수식이나 표, 그림을 포함한 문서를 정교하게 작성할 수 있도록 돕습니다. 특히 학술 논문, 기술 보고서, 책과 같은 긴 문서를 작성할 때 유용합니다.
LaTeX는 TeX라는 시스템을 기반으로 하며, 문서의 구조와 형식을 사용자에게 부담을 주지 않고 관리해 주는 강력한 도구입니다.
주요 특징으로는 다음과 같은 부분이 있습니다:
- 복잡한 수식과 수학 기호를 손쉽게 입력할 수 있다.
- 문서의 일관된 스타일을 유지하며, 서지 및 참고문헌 관리를 자동화한다.
- 표, 이미지, 목차 등을 쉽게 작성하고 조정할 수 있다.
- 고품질의 출판물 수준의 PDF 출력을 지원한다.
주로 학술 논문을 작성하는 대학 교수, 대학원생, 연구자들이 많이 사용하며, IEEE, ACM, APS 같은 학술 기관에서는 LaTeX 포맷으로 논문 제출을 권장하고 있습니다.
2. TeX와 LaTeX의 차이점
TeX는 도널드 크누스(Donald Knuth)가 1978년에 개발한 문서 조판 시스템입니다. TeX는 매우 강력하고 유연한 시스템이지만, 사용자가 세부적인 문서 형식을 직접 지정해야 하기 때문에 복잡한 구조의 문서를 작성하는 데 시간이 많이 걸릴 수 있습니다. TeX는 기본적으로 텍스트와 수식을 입력하고, 이를 고품질의 출력물로 변환하는 도구입니다. 그러나 사용자가 서식 지정과 같은 부분까지 직접 다뤄야 하기 때문에 초보자에게는 다소 어려울 수 있습니다.
반면, LaTeX는 Leslie Lamport가 1980년대에 TeX 위에 개발한 패키지로, 문서 형식을 자동으로 관리해주는 도구입니다. 사용자는 문서의 내용을 입력하는 데 집중하고, 서식이나 구조는 LaTeX가 처리하도록 할 수 있습니다. 이는 사용자가 복잡한 조판 작업에 시간을 쓰지 않고도 고품질의 문서를 만들 수 있도록 도와줍니다.
요약하자면:
- TeX: 문서의 내용을 입력하고, 형식과 구조를 세밀하게 조작할 수 있는 기본 도구.
- LaTeX: 문서의 형식을 자동으로 처리해 주며, TeX보다 사용자 친화적이고, 대규모 문서 작성에 적합.
3. LaTeX와 일반적인 워드 프로세서의 차이점
일반적인 워드 프로세서(예: Microsoft Word, Google Docs)는 사용자가 직접 문서의 레이아웃과 스타일을 지정하며, 'WYSIWYG'(What You See Is What You Get) 방식으로 실시간으로 문서의 최종 출력을 확인하면서 작업합니다. 이는 직관적이고 접근성이 좋아서 일상적인 문서 작성에 적합하지만, 복잡한 수식 입력이나 대규모 문서 관리에서는 한계가 있을 수 있습니다.
반면 LaTeX는 텍스트 기반의 마크업 언어를 사용하여 문서의 구조와 내용을 지정하고, 이를 컴파일하여 최종 PDF 파일을 생성합니다. 사용자는 실시간으로 최종 결과를 볼 수는 없지만, LaTeX는 문서의 형식과 서식을 자동으로 관리하기 때문에 대규모 문서의 일관성을 유지하는 데 매우 효율적입니다. 주요 차이점을 정리하면:
- 문서 작성 방식:
- 워드 프로세서: 실시간으로 보이는 대로 편집(WYSIWYG).
- LaTeX: 텍스트 기반 명령어로 문서 구조를 지정하고, 나중에 컴파일하여 출력물 생성.
- 서식 관리:
- 워드 프로세서: 사용자가 서식을 직접 설정.
- LaTeX: LaTeX가 문서 서식과 레이아웃을 자동으로 관리.
- 수학적 표현:
- 워드 프로세서: 수식을 삽입할 수 있지만, 복잡한 수식은 다루기 어려움.
- LaTeX: 고급 수식과 기호를 쉽게 입력하고 관리할 수 있음.
- 대규모 문서 관리:
- 워드 프로세서: 긴 문서에서 서식 일관성 유지가 어려울 수 있음.
- LaTeX: 긴 문서에서 일관성 있는 스타일을 유지하며 참고문헌, 목차 등을 자동으로 관리.
LaTeX는 높은 학습 곡선을 가질 수 있지만, 한 번 익히면 특히 학술적인 문서 작성에서 큰 이점 제공.
기초 문법 연습
사용 사이트
(프로그램 설치 없이 온라인으로 작성 가능)
ShareLaTeX, Online LaTeX Editor
An online LaTeX editor that's easy to use. No installation, real-time collaboration, version control, hundreds of LaTeX templates, and more.
www.sharelatex.com

로그인을 잘 하고 Blank Project를 새로 생성하면 다음과 같은 화면이 표기된다.
좌측은 LaTeX 혹은 Visual Editor로 수정할 수 있는 화면이고
우측은 Complie시 보이는 화면이다.

다음과 같이 표기가 된다.
인라인 수식 : 텍스트 중간에 수식을 삽입할 때 사용. 수식은 $ ... $와 같이 $ 사이에 작성.
예시 :
The quadratic formula is $x = \frac{-b \pm \sqrt{b^2 - 4ac}}{2a}$.
결과 :

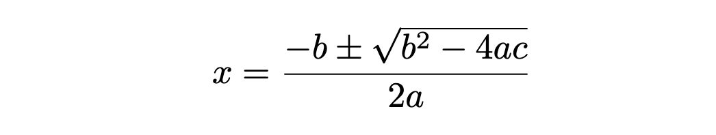
수식 블록: 수식을 한 줄로 표현하고 싶을 때는 \[ ... \]를 사용.
예시:
\[ x = \frac{-b \pm \sqrt{b^2 - 4ac}}{2a} \]

- 제곱, n승, 수열
a^2, a^n, a_{i+1}

- 루트
\sqrt{a+b}, \sqrt[3]{x}

\sum_{i=1}^{n} i^2

- 적분
\int_{0}^{1} x^2 \, dx

\alpha + \beta = \gamma, \pi \approx 3.14159

LaTeX로 논문을 부드럽게 쓰려면 갈 길이 멀다고 느껴진다.